CPM Kritik Yol Yöntemi Critical Path Method
CPM Kritik Yol Yöntemi Örnekleri – Örnek 1
1) K işlemi A ve B tamamlandıktan sonra, L işlemi ise B ve C tamamlandıktan sonra başlar.

2-a) K işlemi A dan sonra, L işlemi, A, B den sonra ve M işlemi de B, C den sonra başlayacaktır.
2-b) K işlemi A dan sonra, L işlemi A, B den sonra ve M işlemi de A, B, C den sonra başlayacaktır.

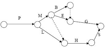
3) İşlemler arasında aşağıdaki bağıntılar olan şebekenin gösterilişi;
* P ilk işlemdir,
* M ve L, P den sonra aynı zamanda başlamaktadır,
* B, E aynı zamanda başlayan ve aynı zamanda biten işlemler olup M den sonra başlamaktadır.
* H işlemi L yi takip ediyor fakat başlaması için M in tamamlanmış olması şarttır.
* G ve S son işlemlerdir; G, E den sonra; S, H dan sonra başlamaktadır.

CPM ile Çizilmiş Bir Serimde Yatırım Süresinin Bulunması İçin Hesaplama Şekli
(Düğüm Zamanları):

ŞEKİL 1.8) (a) CPM de düğüm zamanları; (b) CPM de örnek işlem süre ve zamanları
TiE = TiG veya TjE = TjG olduğu yerlerde KRİTİK YOL vardır. Yatırım projelerinde kritik yörünge üzerinde bulunan faaliyetlerin gösterilen süreler içinde bitirilmesi zorunludur, zira bunların tamamlanma sürelerinde meydana gelen aksamalar yatırımın toplam süresini uzatır.
İşlemlerin Kritiklik Koşulları:
- Bir İşlemin kritik olabilmesi için başlangıç ve bitiş düğümlerinin her ikisinin de en erken ve en geç tamamlanma zamanları eşit olmalıdır. (TiE = TiG , TJE = TjG)
- İşlemin başlangıç düğümü en erken tamamlanma zamanıyla işlem süresi toplamı, bitiş düğümünün en erken tamamlanma zamanını vermelidir. (TjE = TiE + ti j)
- Kritik yol, başlangıç düğümümden başlar ve bitiş düğümünde biter. Mutlaka her serimde en az bir kritik yol vardır.
- Kritik yol birden fazla olabilir.
- Kritik yolun uzunluğu bize yatırım süresini verir.
- Toplam bolluğu sıfır olan işlemler kritik işlemlerdir. Hesaplamalarda serbest ve toplam bolluklar kullanılır. Toplam bolluk negatif olmamalıdır.
Kiritik olmayan işlemler, belirli zaman aralıkları içinde tamamlandığı takdirde yatırımın toplam süresini değiştirmeyen işlerdir. Bu tür faaliyetlere bolluğu olan faaliyetler denir.
i-j işlemleri için dört çeşit bolluk tarif edilmiştir:
Toplam Bolluk (TB) [İngilizce Total float (TF), Almanca Gesamtschlupt (SG) veya Gesamte Pufferzeit (GP)]
i – j işlemi en erken başlama zamanı olan Ti E zamanında başlamakta ve t i j süresince devam etmektedir. Bu işlemin bittiği zaman ile j düğüm noktasının (veya i-j işleminin) izin verilen en geç tamamlanma zamanı arasındaki süre farkına faaliyetin “toplam bolluğu” denir.
Serbest Bolluk (SB) [İng. Free float (FF), Alm. Freienschlupf (SF) veya Freie Pufferzeit (FP)]
i – j işlemi izin verilen en erken Ti E başlama zamanında başlamakta ve t i j süresince devam etmektedir. Bu işlemin bittiği zaman ile j düğüm noktasının en erken tamamlanma zamanı Ti E arasındaki süre farkına “serbest bolluk” denir.
Bağımsız Bolluk (BB) [İng. Independent float (IND.F), Alm. Unabhaengige Schluphf (SU) veya unabhaengige Pufferzeit (UP)]
i – j işlemi, i düğüm noktasının en geç tamamlanma zamanında başlayıp t i j süresinde devam ederek ve gene de j düğüm noktasının en erken tamamlanma zamanından evvel bitebilir, aradaki süre farkına “bağımsız bolluk” denir.
Ara Bolluk (AB) [İng. _, Alm. zwischen Schlupf (SZ) veya zwischen Pufferzeit (ZP)
i – j işlemi, i düğüm noktasının en geç tamamlanma zamanında başlayarak t i j süresince devam etmekte ve j düğüm noktasının en geç tamamlanma zamanından erken bitmektedir. Bu iki zaman arasındaki süre farkına “arabolluk” denir.
İşlemlerin en erken ve en geç başlama ve tamamlanma zamanları;
Bolluk çeşitlerinin tamamlanmasından sonra herhangi bir işlemin en erken başlama (bitme) ve en geç başlama (bitme) zamanları bolluklar ve düğüm noktalarının en erken ve en geç tamamlanma zamanları cinsinden hesaplanabilir.
EBi j = Ti E (En erken başlama zamanı)
ETi j = Ti E + ti j (En erken tamamlanma zamanı)
GBi j = TjG – ti j (En geç başlama zamanı)
GTi j = Tj G (En geç tamamlanma zamanı)
CPM İçin Uygulama

Bollukların kullanıldığı yerler:
1- İşlemlerin kritik olup olmadığını ve esnekliğini hesaplama,
2- Malzeme, ekipman ve gider gibi kaynakların en uygun bir biçimde kullanılmalarına yardımcı olmak üzere,
3- Optimum yatırım süresinin hesaplanmasında,
4- İşlem sürelerinin değiştirilmesinde, ekip büyüklüğü ya da ekip sayısının değiştirilmesinde.



çok teşekkür ederim güzel ve öz bilgiler.